Grassi Rancidi e Ossidazione controllata: Tra Chimica, Cucina e Cultura Alimentare

06/12/2024
Indice
- L'articolo risponde alle seguenti domande
- Cosa sono i lipidi?
- Il ruolo del rancido in cucina
- Gli aromi e la percezione sensoriale
- La formazione degli aromi dai lipidi
- Smen: l'importanza dell'idrolisi nei grassi
- Come fare lo Smen a casa?
- Il Sapore dello Smen
- L'ossidazione lipidica quindi è salutare?
- Conclusione
- Bibliografia
Prima di immergerci nell’argomento di oggi, permetteteci di presentarvi il nostro progetto. Noi siamo I’m in Fermentation, un blog dedicato a rendere chiaro e accessibile il micro-mondo degli alimenti fermentati e della microbiologia. Il nostro obiettivo è fornire risposte chiare e semplici alle tante domande che circondano questo affascinante campo, attraverso contenuti divulgativi supportati da solidi basi scientifiche. Alla fine di ogni articolo troverete le fonti consultate, per garantire che ciò che leggete sia affidabile e comprovato. Speriamo che il nostro approccio vi piaccia e che possiamo creare una community basata sulla crescita reciproca e continua.
Nel nostro blog colleghiamo spesso l'attività microbica alla produzione alimentare, poiché i microrganismi, tramite il loro metabolismo, trasformano gli alimenti rendendoli più conservabili, appetibili e sani. Oggi affrontiamo un tema che spesso genera confusione: i grassi rancidi. Sebbene la chimica organica non sia materia semplice, cercheremo di rendere questo argomento comprensibile anche ai meno esperti.
L'articolo risponde alle seguenti domande
- Che cosa comporta l’ossidazione e la degradazione enzimatica dei grassi alimentari?
- Che cos’è e come si fa lo Smen, il burro rancido marocchino?
- I grassi rancidi fanno male?
Cosa sono i lipidi?
I lipidi, comunemente chiamati grassi, sono una delle tre principali categorie di macronutrienti, insieme a proteine e carboidrati. A temperatura ambiente si presentano in forma solida (grassi) o liquida (oli), accomunati da una caratteristica fondamentale: la loro struttura apolare, che li rende eccellenti trasportatori di molecole aromatiche, anch'esse spesso apolari. Questa proprietà, ben riassunta nel principio chimico “il simile scioglie il simile”, rende i lipidi essenziali per la formazione di aromi e sapori negli alimenti.
Oltre ad essere una fonte energetica, i lipidi svolgono molteplici funzioni nei cibi, contribuendo alla loro struttura e influenzandone la consistenza. Tuttavia, il loro comportamento cambia radicalmente quando si degradano.
Cosa succede ai lipidi quando si degradano?
La degradazione dei grassi, attraverso processi come l'ossidazione o l'idrolisi, porta a cambiamenti nel sapore, trasformandolo in ciò che chiamiamo “rancido”. Sebbene l'irrancidimento sia spesso visto come un difetto, in alcuni contesti culinari rappresenta un elemento distintivo. Alimenti tradizionali come formaggi stagionati e prodotti fermentati sfruttano la degradazione controllata dei lipidi per sviluppare profili aromatici complessi e apprezzati.
Per comprendere meglio il fenomeno, è necessario fare chiarezza sui processi che trasformano i grassi e sul ruolo che l'ossidazione controllata può giocare nella cucina e nella cultura alimentare. Oltre a leggere il resto dell'articolo potresti essere interessato a capire come usare queste tecniche in cucina, guarda il prossimo webinar sulla produzione di garum, shoyu ed aglio nero a fine gennaio 2025.
Il ruolo del rancido in cucina
Per rancido si intende un grasso che, a seguito di modifiche o degradazioni, sviluppa un sapore sgradevole. Tuttavia, la percezione del rancido varia a seconda della cultura e delle preferenze personali, rendendo questa sensazione sensoriale altamente soggettiva. Alcuni alimenti con grassi degradati, ottenuti tramite ossidazione termica o idrolisi enzimatica, sono apprezzati da alcuni e considerati sgradevoli da altri.
In cucina, il rancido non è sempre sinonimo di difetto. Johnny Drain, chef e scienziato del Nordic Food Lab, sottolinea che l'ossidazione, pur non essendo classificata come rancida in prodotti come Cognac o Armagnac, contribuisce allo sviluppo di aromi distintivi. Un esempio interessante viene dalla Gran Bretagna, dove il burro destinato al Toffee subisce una leggera ossidazione per arricchirne l'aromaticità.
Gli aromi e la percezione sensoriale
Il sapore degli alimenti è una combinazione complessa di tre elementi fondamentali: aroma, gusto e sensazioni orali. Questi fattori si intrecciano per creare l’esperienza sensoriale che associamo a un determinato cibo.
Aroma:
molecole volatili percepite dall’olfatto. L’aroma è determinato da molecole volatili a basso peso molecolare, che arrivano ai nostri recettori olfattivi attraverso due vie:
- Via ortonasale: quando annusiamo il cibo.
- Via retronasale: quando mastichiamo e le molecole aromatiche si liberano, raggiungendo i recettori attraverso la cavità retro-nasale.
Di solito la percezione sensoriale olfattiva è legata all’insieme delle molecole e i loro rapporti quantitativi, ma alcune di queste molecole sono essenziali per identificare l’aroma caratteristico di un alimento, come quello dello yogurt, definito dall’aldeide acetica, o del burro, in cui predominano acetoino e diacetile.
Gusto:
la percezione dei recettori della lingua. Il gusto si riferisce alla capacità di alcune molecole di attivare i recettori specifici della lingua. Ad oggi, i gusti riconosciuti sono cinque:
- Dolce
- Salato
- Acido
- Amaro
- Umami
Questi recettori lavorano in sinergia con le molecole aromatiche per creare l’identità gustativa di un alimento.
Sensazioni orali:
Le sensazioni orali completano l’esperienza gustativa. Esse includono:
- Sensazioni meccaniche: come la croccantezza o la cremosità.
- Sensazioni chimiche: come l’astringenza (tipica del vino rosso) o il pizzicore (ad esempio, del peperoncino).
Le molecole aromatiche e la loro origine.
Le molecole responsabili dell’aroma derivano da molteplici vie biochimiche. Possono originarsi da:
- Zuccheri
- Amminoacidi
- Acidi grassi
Questi processi possono avvenire spontaneamente all’interno dei tessuti vegetali e animali o essere innescati dall’attività microbica. Ad esempio, la degradazione dei lipidi genera molecole aromatiche che influenzano il profilo sensoriale degli alimenti, soprattutto nei prodotti lattiero-caseari.
Grazie alla tecnologia avanzata, oggi è possibile analizzare le molecole volatili con strumenti come la gascromatografia. Questa tecnica consente di identificare e quantificare i composti aromatici, aiutando a capire meglio il legame tra biochimica e sensorialità. Tra gli alimenti più studiati dal punto di vista aromatico troviamo i formaggi. In particolare:
Proteolisi: Durante la maturazione di molti formaggi, i processi di degradazione delle proteine contribuiscono notevolmente al sapore.
Idrolisi lipidica: Nei formaggi erborinati come il Roquefort, la degradazione dei grassi è fondamentale per il loro caratteristico profilo aromatico.
La formazione degli aromi dai lipidi
La degradazione dei lipidi è un processo naturale che può avvenire attraverso due vie principali: l'ossidazione e l'idrolisi. Questi processi non solo influenzano la qualità e la conservabilità degli alimenti, ma contribuiscono anche alla formazione di aromi e sapori che caratterizzano molti prodotti.
Ossidazione lipidica: come nascono i composti aromatici secondari
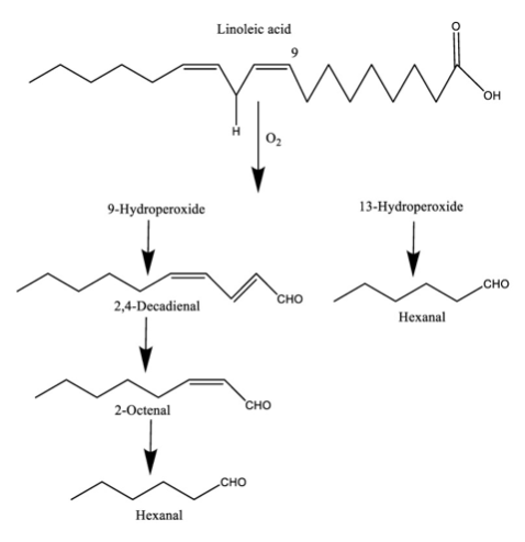
L'ossidazione è una delle principali cause di degradazione dei grassi, in particolare di quelli polinsaturi, molto presenti negli oli vegetali e nei grassi animali. Questo processo può avvenire in due modi:
Fotossidazione e autossidazione:
L'ossigeno molecolare (O₂) attacca gli acidi grassi vicino ai doppi legami, provocando una reazione a cascata che genera radicali liberi. Inizialmente si formano i prodotti primari dell’ossidazione, come gli idroperossidi, molecole instabili che si trasformano rapidamente in prodotti secondari più complessi, come aldeidi, chetoni, epossidi e alcoli. Questi composti hanno spesso un impatto significativo sull’aroma del prodotto.
Le reazioni ossidative sono favorite da temperature elevate ed è spesso catalizzata da metalli come rame e ferro, presenti in tracce negli alimenti. Altri elementi che ne promuovono la velocità sono le radiazioni (specie quelle UV) e molecole fotosensibilizzatrici (clorofilla ed emoglobina sono tra queste)
Questi processi portano alla formazione di molecole aromatiche chiave, molte delle quali contribuiscono ai profumi e ai sapori distintivi di prodotti lavorati o conservati. Ma possono portare anche a molecole distintive del fenomeno di irrancidimento degli alimenti.
Idrolisi lipidica: il ruolo degli enzimi
L'idrolisi è un altro meccanismo importante nella degradazione dei lipidi. Questo processo è catalizzato da enzimi come:
Lipasi: Scindono gli acidi grassi dal glicerolo, producendo monogliceridi, digliceridi o trigliceridi.
Lipossigenasi: Ossidano enzimaticamente gli acidi grassi. Questi enzimi sono presenti naturalmente nelle cellule animali e vegetali, ma possono essere prodotti anche da microorganismi.
Anche in questo caso, i composti generati durante l’idrolisi possono trasformarsi ulteriormente in molecole aromatiche, contribuendo al gusto e all’odore di molti alimenti fermentati o maturati.
Le principali molecole responsabili dell’aroma nei cibi
Le molecole aromatiche sono essenziali per il gusto e il profumo di molti alimenti. Ecco le principali classi di composti e come si formano:
Esteri
Gli esteri si formano dalla reazione tra acidi carbossilici e alcoli. Sono molto comuni nei profili aromatici dei frutti, ma possono essere prodotti anche da microrganismi come Lactococcus lactis o lieviti (Saccharomyces, Pichia, Kluyveromyces). Questi composti conferiscono aromi fruttati e dolci, tipici di molti prodotti fermentati.
Terpeni
Queste molecole sono costituite da unità di isoprene e sono tipiche delle piante, dove giocano un ruolo importante negli oli essenziali. Tra i terpeni più noti ci sono limonene, linalolo e carvone, spesso utilizzati anche nell’industria alimentare e cosmetica. Alcuni funghi, come quelli della famiglia degli ascomiceti, possono produrre terpeni.
Chetoni metilici
I chetoni metilici, come il diacetile, sono responsabili di aromi burrosi e fruttati. Sono tipici di prodotti lattiero-caseari come il burro e i formaggi stagionati, ma si formano anche durante la fermentazione di muffe come Aspergillus niger e Penicillium roquefortii (il nome è legato proprio alla produzione del tipico formaggio erborinato francese:Roquefort)
Aldeidi
Le aldeidi, come la vanillina o la benzaldeide, sono composti aromatici chiave. Si formano spesso durante la maturazione o la fermentazione degli alimenti e subiscono spesso ulteriori trasformazioni diventando alcoli o acidi carbossilici.
Alcoli secondari
Gli alcoli secondari sono prodotti tipici della fermentazione anaerobica. Molecole come il 2-feniletanolo o l’alcol isoamilico contribuiscono a profumi floreali e fruttati, mentre i loro derivati esterificati aggiungono ulteriore complessità ai profili aromatici.
Acidi grassi volatili
Gli acidi grassi a catena corta, come l’acido lattico, butirrico e acetico, sono essenziali per il profilo aromatico di alimenti come formaggi, yogurt e bevande fermentate.
L'importanza di queste molecole nel gusto e nell'industria alimentare
Le molecole aromatiche derivate dai processi di ossidazione e idrolisi dei lipidi sono fondamentali per la qualità sensoriale degli alimenti. Comprendere come si formano e come possono essere gestite permette di migliorare il gusto e la stabilità dei prodotti, contribuendo allo sviluppo di nuove tecnologie e al perfezionamento di quelle esistenti nell’industria alimentare.
Smen: l'importanza dell'idrolisi nei grassi
Lo Smen è un alimento fermentato unico, radicato nella tradizione culinaria di paesi come il Marocco e il Medio Oriente. Si tratta di un burro stagionato prodotto a partire dal latte, apprezzato per il suo profilo aromatico complesso e pregiato. Questo alimento, largamente utilizzato in piatti tradizionali come il cous-cous, presenta un sapore inconfondibile che può sorprendere chi è abituato al burro fresco.
I francesi lo chiamano "Beurre Rance" (burro rancido), sottolineando le differenze culturali e gastronomiche: mentre in Europa prevale il consumo di burro fresco, nei paesi nord-africani le temperature elevate hanno reso necessaria la fermentazione e la stagionatura per garantire la conservazione.
Produzione dello Smen: Fermentazione e Lipolisi
La produzione dello Smen avviene in condizioni di anaerobiosi, e il processo più significativo è la degradazione dei lipidi. Questa degradazione avviene tramite: Idrolisi dei trigliceridi, che libera acidi grassi liberi e ossidazione degli acidi grassi, che contribuisce alla formazione di un aroma complesso.
Gli acidi grassi liberi, in particolare quelli a corta catena come l’acido butanoico e l’acido esanoico, svolgono un ruolo importante sia nella sicurezza microbiologica del prodotto (inibendo la crescita di batteri indesiderati come i lattobacilli) che nel suo aroma e sapore caratteristico.
Composizione aromatica dello Smen: Molecole chiave
Acidi grassi (acidi carbossilici)
- Acido butanoico e acido esanoico: responsabili delle note burrose e leggermente rancide.
- Acido acetico, propanoico e ottanoico: presenti anche in burro, yogurt e formaggi, conferiscono note grasse e di formaggio stagionato.
Alcoli
- 2-eptanolo: molecola chiave con aroma grasso e oleoso.
- 1,3-butanediolo e 2,3-butanediolo: conferiscono note di muffa o cremosità.
- Etanolo: contribuisce a un aroma floreale o medicinale.
Esteri
- Etil-butanoato, etil-lattato, etil-esanoato: molecole aromatiche tipiche del burro, con note fruttate e floreali percepibili anche a basse concentrazioni.
Chetoni e Aldeidi
- 2-eptanone e acetoino: caratteristici dei prodotti lattiero-caseari, con aromi burrosi e grassi.
- Acetaldeide: aggiunge note di mandorla amara.
Terpeni
Derivati dall’alimentazione delle vacche, conferiscono al latte e ai suoi derivati aromi vegetali unici. Il profilo aromatico dello Smen dipende dalla combinazione e dalla concentrazione di diverse molecole volatili. Ogni molecola ha una soglia di percezione, sotto la quale non viene rilevata. Tuttavia, a concentrazioni elevate, alcune molecole aromatiche possono evolvere da piacevoli a sgradevoli. Una lipolisi controllata è cruciale per ottenere il caratteristico aroma complesso del prodotto, evitando un’eccessiva rancidità che potrebbe comprometterne la qualità sensoriale.
Come fare lo Smen a casa?
In passato, il burro si otteneva lavorando il latte in una Chekoua, un'otre di pelle di capra. Questo strumento tradizionale, pur difficile da pulire, contribuiva a creare il sapore unico dello Smen. Oggi, però, le tecniche moderne preferiscono l’uso di agitatori meccanici, che agiscono come delle zangole in partica, per rendere il processo più pratico e igienico.
Queste zangole servono per l’inversione di fase: la crema di latte iniziale, un’emulsione di olio in acqua (goccioline di olio più o meno grandi sono disperse nella fase acquosa continua), viene lavorata fino a rompere le goccioline di grasso che così si uniscono formando una nuova emulsione, questa volta di acqua in olio (goccioline di acqua disperse in una fase di grasso continua). In questa fase, eliminare la maggior parte dell’acqua residua è cruciale per garantire la stabilità del prodotto, evitando ossidazioni indesiderate o crescita microbica.
Metodi di Preparazione Tradizionali
Esistono due principali tecniche per preparare lo Smen, a seconda della regione e della tradizione familiare.
Salatura diretta (metodo marocchino)
In Marocco, il burro fresco viene lavorato con sale (circa 0,8 g ogni 100 g di burro). Dopo un accurato impastamento, che serve a omogeneizzare il sale all’interno del burro, si lascia riposare una notte per eliminare l’acqua residua. Successivamente, il burro viene confezionato in contenitori ermetici, spesso di ceramica (chiamati Ezzir) o vetro, e compattato per ridurre al minimo la presenza di ossigeno, infatti sarebbe meglio che il burro immaturo riempia tutto il contenitore, oppure molti produttori aggiungono una pasta di semola tra il burro e la parte superiore del contenitore, per evitare il passaggio di ossigeno.
La maturazione avviene in ambienti asciutti e bui, a temperatura ambiente, e può durare da 1 mese a oltre 1 anno, con un risultato più intenso e complesso man mano che il tempo passa. Nelle regioni calde si preferisce conservare il prodotto in frigorifero o persino sotterrarlo, una pratica ancora diffusa in alcune aree, marocchine soprattutto.
Per accelerare il processo, molte famiglie aggiungono una piccola quantità di Smen già maturo (5-8% di Smen maturato 2-10 anni), riducendo significativamente i tempi di maturazione.
Bollitura del burro (metodo algerino e di qualche regione marocchina)
In Algeria, la preparazione dello Smen inizia con la bollitura lenta (a bassa temperatura per evitare un’eccessiva degradazione dei grassi) del burro per eliminare l’acqua. Durante questa fase si forma una schiuma bianca, residuo di latte (noto come Lben). Si aggiungono ingredienti aromatici come rosmarino, timo, fieno greco, sale (8 g per 100 g di burro) e, talvolta, semola grossa per assorbire eventuali residui di acqua. Questo metodo ricorda anche quello della produzione del burro rancido egiziano (Samna) e del Ghee (Burro stagionato indiano ed Etiope, anche se questo viene cotto a temperature alte vicino ai 120°C)
Dopo una cottura di 30-90 minuti, il burro viene filtrato e confezionato come nel metodo marocchino. Questo approccio garantisce una sicurezza microbiologica maggiore grazie al trattamento termico e agli ingredienti con proprietà antibatteriche e antiossidanti.
Il Sapore dello Smen
Lo Smen è celebre per il suo gusto unico, caratterizzato da note aromatiche intense che si sviluppano grazie alla lipolisi enzimatica e all’ossidazione controllata degli acidi grassi durante la maturazione. Più lungo è il tempo di stagionatura, più marcate saranno le sue note di rancidità, apprezzate soprattutto nella cucina tradizionale.
Viene usato per condire piatti come cous-cous, chakchoukha e dolci tradizionali come baklawa, makrout e rfis. Grazie alla sua complessità aromatica, può essere sperimentato anche nella cucina italiana, sostituendo o affiancando il burro fresco per arricchire il gusto dei piatti.
Curiosità e Usi Tradizionali
In Marocco, una tradizione vuole che lo Smen venga preparato alla nascita di una figlia, sotterrato e lasciato maturare fino al giorno del suo matrimonio, quando sarà usato per condire il cous-cous nuziale.
Lo Smen è anche associato a usi medicinali tradizionali, come il trattamento di ferite, tosse e mal di testa. Alcuni agricoltori lo applicano persino sulle ferite degli animali. Sebbene questi usi siano radicati nella cultura locale, mancano prove scientifiche per sostenerne l’efficacia.
Valore Nutraceutico
Simile al Ghee indiano, lo Smen potrebbe contenere acido linoleico coniugato (CLA), noto per le sue proprietà antiossidanti, anticarcinogeniche e antidiabetiche. Tuttavia, servono ulteriori studi per confermare questi effetti e il loro reale impatto sulla salute umana.
L'ossidazione lipidica quindi è salutare?
L’ossidazione lipidica (conosciuta come irrancidimento) è un fenomeno complesso che interessa la qualità e la stabilità di molti alimenti. Per un tecnologo alimentare, questa parola accende sempre campanelli d’allarme: è associata a processi degradativi che influenzano la sicurezza e le caratteristiche organolettiche di prodotti come oli, carni e latticini.
Un esempio emblematico è l’olio extravergine d’oliva: l’ossidazione può causare difetti sensoriali come il gusto di rancido, compromettendone la classificazione e, nei casi estremi, rendendolo inadatto al consumo umano.
Si tratta di una complessa serie di reazioni che viene molto studiata, poiché influenza qualità e stabilità di molti alimenti tipici del nostro mondo occidentale. Noi, con eccezione di alcuni prodotti dove l’ossidazione è desiderata e viene fatta in maniera controllata (formaggi erborinati, alcuni salumi), non siamo abituati a questi sapori, in genere.
Comunque, il problema consiste nell’ossidazione mediata dalla presenza di ossigeno, poiché è vero che può portare alla produzione di composti secondari aromatici, ma porta anche ad una grande produzione di molecole radicaliche altamente reattive in un complesso di reazioni a cascata che con il passare del tempo aumentare la sua velocità.
Il consumo di alimenti rancidi o ossidati può essere quindi problematico poiché i composti reattivi prodotti durante l’ossidazione (come i perossidi lipidici e i ROS, molecole reattive dell’Ossigeno) sono associati a potenziali effetti negativi:
- Danno ossidativo alle cellule;
- Alterazioni geniche;
- Infiammazione cronica, se l’assunzione è costante
Fortunatamente, il nostro organismo dispone di sistemi di difesa, sia endogeni (antiossidanti naturali prodotti dal corpo) che esogeni (antiossidanti introdotti con la dieta, come vitamina E e polifenoli). Tuttavia, questi sistemi hanno limiti e non possono compensare un’esposizione eccessiva.
I radicali, tra cui anche quelli liberi, sono molecole che presentano una carica e sono quindi instabili e cercano di pareggiare questa carica sottraendo elettroni o atomi di idrogeno ad altre molecole, e queste possono essere molecole lipidiche, proteiche ma anche acidi nucleici del DNA del nostro organismo. Causando perdite della funzione biologica di queste molecole, ma anche mutazioni nel DNA ed alterazione nell’espressione di geni, con rischi biologici anche molto alti.
Gli acidi grassi polinsaturi, come quelli presenti negli olii vegetali, sono particolarmente suscettibili all’autossidazione e alla fotossidazione. Le insaturazioni (doppi legami nei carboni) offrono punti deboli che reagiscono facilmente, accelerando il degrado. Questo spiega perché gli oli vegetali siano meno stabili rispetto a grassi saturi o margarine.
Fortunatamente nel nostro corpo abbiamo diversi sistemi di difesa nei confronti di queste molecole reattive e nei confronti dell’ossidazione in generale, sia endogeni (cioè prodotti dal nostro organismo) e sia esogeni (introdotti con l’alimentazione), ma questi hanno i loro limiti. In generale, sarebbe meglio evitare alimenti irranciditi o degradati. Tuttavia, per prodotti in cui l’ossidazione è controllata, il discorso cambia:
- Sono spesso alimenti di origine animale, dove i grassi sono più stabili all’irrancidimento, per cui l’ossidazione è spesso ottenuta tramite idrolisi enzimatica e avviene in condizioni controllate, ma comunque è essenziale moderarne il consumo in linea con le raccomandazioni nutrizionali.
- Non rappresentano un pericolo significativo se inseriti in una dieta bilanciata e consumati con moderazione.
Conclusione
L’ossidazione lipidica è un fenomeno da comprendere e gestire con attenzione. Mentre l’ossidazione incontrollata è dannosa, quella gestita offre opportunità per creare alimenti dal gusto unico e inconfondibile. La chiave è un consumo consapevole, bilanciato e in linea con una dieta sana e sostenibile. Puoi anche gli effetti benefici del consumo di altri elimenti fermentati come il miso guardando il video che ho realizzato qui e del Kefir qui. Speriamo che questo articolo sia stato utile per voi, e se ci sono argomenti per la quale avete un particolare interesse, o anche se volete approfondimenti, potete scrivercelo nei commenti qui sul blog o sui social!
Vi ringraziamo per l’interesse e per la lettura.
Bibliografia
Benkerroum, N., & Tamime, A. Y. (2004). Technology transfer of some Moroccan traditional dairy products (lben, jben and smen) to small industrial scale. Food Microbiology, 21(4), 399–413. https://doi.org/10.1016/j.fm.2003.08.006
Chinnadurai, K., Kanwal, H. K., Tyagi, A. K., Stanton, C., & Ross, P. (2013). High conjugated linoleic acid enriched ghee (clarified butter) increases the antioxidant and antiatherogenic potency in female Wistar rats. Lipids in Health and Disease, 12(1). https://doi.org/10.1186/1476-511X-12-121
Martemucci, G., Costagliola, C., Mariano, M., D’andrea, L., Napolitano, P., & D’Alessandro, A. G. (2022). Free Radical Properties, Source and Targets, Antioxidant Consumption and Health. Oxygen, 2(2), 48–78. https://doi.org/10.3390/oxygen2020006
Quarantelli A, Righi F, Renzi M, & Bonomi A. (2003). PROCESSI OSSIDATIVI NEGLI ALIMENTI DI ORIGINE VEGETALE. In Ann. Fac. Medic. Vet. di Parma: Vol. XXIII.
Reyes-Reyes, A. L., Valero Barranco, F., & Sandoval, G. (2022). Recent Advances in Lipases and Their Applications in the Food and Nutraceutical Industry. Catalysts, 12(9), 960. https://doi.org/10.3390/catal12090960
Sánchez-Muniz, F. J. (2006). Oils and fats: Changes due to culinary and industrial processes. International Journal for Vitamin and Nutrition Research, 76(4), 230–237. https://doi.org/10.1024/0300-9831.76.4.230
Sarhir, S. T., Amanpour, A., Bouseta, A., & Selli, S. (2021). Fingerprint of aroma-active compounds and odor activity values in a traditional Moroccan fermented butter “Smen” using GC–MS–Olfactometry. Journal of Food Composition and Analysis, 96, 103761. https://doi.org/10.1016/j.jfca.2020.103761
Shahidi, F., & Hossain, A. (2022). Role of Lipids in Food Flavor Generation. Molecules, 27(15), 5014. https://doi.org/10.3390/molecules27155014
Triqui, R., Guth, H., Triqui, R., & Guth, H. (2001). Potent odorants in “Smen”, a traditional fermented butter product. In Eur Food Res Technol (Vol. 212). Springer-Verlag.
Redatto da Renato Iliano per I'm in fermentation
Prossimi corsi
Passa dalla teoria alla pratica, partecipa ad un corso ed impara in diretta tutti i segreti della fermentazione. Nel calendario potrai trovare corsi in ogni parte d'Italia o formazioni personalizzate residenziali a casa mia!

Ti potrebbe interessare...
Grassi Rancidi e Ossidazione controllata: Tra Chimica, Cucina e Cultura Alimentare

06/12/2024
Tecniche
- L'articolo risponde alle seguenti domande
- Cosa sono i lipidi?
- Il ruolo del rancido in cucina
- Gli aromi e la percezione sensoriale
- La formazione degli aromi dai lipidi
- Smen: l'importanza dell'idrolisi nei grassi
- Come fare lo Smen a casa?
- Il Sapore dello Smen
- L'ossidazione lipidica quindi è salutare?
- Conclusione
- Bibliografia
Prima di immergerci nell’argomento di oggi, permetteteci di presentarvi il nostro progetto. Noi siamo I’m in Fermentation, un blog dedicato a rendere chiaro e accessibile il micro-mondo degli alimenti fermentati e della microbiologia. Il nostro obiettivo è fornire risposte chiare e semplici alle tante domande che circondano questo affascinante campo, attraverso contenuti divulgativi supportati da solidi basi scientifiche. Alla fine di ogni articolo troverete le fonti consultate, per garantire che ciò che leggete sia affidabile e comprovato. Speriamo che il nostro approccio vi piaccia e che possiamo creare una community basata sulla crescita reciproca e continua.
Nel nostro blog colleghiamo spesso l'attività microbica alla produzione alimentare, poiché i microrganismi, tramite il loro metabolismo, trasformano gli alimenti rendendoli più conservabili, appetibili e sani. Oggi affrontiamo un tema che spesso genera confusione: i grassi rancidi. Sebbene la chimica organica non sia materia semplice, cercheremo di rendere questo argomento comprensibile anche ai meno esperti.
L'articolo risponde alle seguenti domande
- Che cosa comporta l’ossidazione e la degradazione enzimatica dei grassi alimentari?
- Che cos’è e come si fa lo Smen, il burro rancido marocchino?
- I grassi rancidi fanno male?
Cosa sono i lipidi?
I lipidi, comunemente chiamati grassi, sono una delle tre principali categorie di macronutrienti, insieme a proteine e carboidrati. A temperatura ambiente si presentano in forma solida (grassi) o liquida (oli), accomunati da una caratteristica fondamentale: la loro struttura apolare, che li rende eccellenti trasportatori di molecole aromatiche, anch'esse spesso apolari. Questa proprietà, ben riassunta nel principio chimico “il simile scioglie il simile”, rende i lipidi essenziali per la formazione di aromi e sapori negli alimenti.
Oltre ad essere una fonte energetica, i lipidi svolgono molteplici funzioni nei cibi, contribuendo alla loro struttura e influenzandone la consistenza. Tuttavia, il loro comportamento cambia radicalmente quando si degradano.
Cosa succede ai lipidi quando si degradano?
La degradazione dei grassi, attraverso processi come l'ossidazione o l'idrolisi, porta a cambiamenti nel sapore, trasformandolo in ciò che chiamiamo “rancido”. Sebbene l'irrancidimento sia spesso visto come un difetto, in alcuni contesti culinari rappresenta un elemento distintivo. Alimenti tradizionali come formaggi stagionati e prodotti fermentati sfruttano la degradazione controllata dei lipidi per sviluppare profili aromatici complessi e apprezzati.
Per comprendere meglio il fenomeno, è necessario fare chiarezza sui processi che trasformano i grassi e sul ruolo che l'ossidazione controllata può giocare nella cucina e nella cultura alimentare. Oltre a leggere il resto dell'articolo potresti essere interessato a capire come usare queste tecniche in cucina, guarda il prossimo webinar sulla produzione di garum, shoyu ed aglio nero a fine gennaio 2025.
Il ruolo del rancido in cucina
Per rancido si intende un grasso che, a seguito di modifiche o degradazioni, sviluppa un sapore sgradevole. Tuttavia, la percezione del rancido varia a seconda della cultura e delle preferenze personali, rendendo questa sensazione sensoriale altamente soggettiva. Alcuni alimenti con grassi degradati, ottenuti tramite ossidazione termica o idrolisi enzimatica, sono apprezzati da alcuni e considerati sgradevoli da altri.
In cucina, il rancido non è sempre sinonimo di difetto. Johnny Drain, chef e scienziato del Nordic Food Lab, sottolinea che l'ossidazione, pur non essendo classificata come rancida in prodotti come Cognac o Armagnac, contribuisce allo sviluppo di aromi distintivi. Un esempio interessante viene dalla Gran Bretagna, dove il burro destinato al Toffee subisce una leggera ossidazione per arricchirne l'aromaticità.
Gli aromi e la percezione sensoriale
Il sapore degli alimenti è una combinazione complessa di tre elementi fondamentali: aroma, gusto e sensazioni orali. Questi fattori si intrecciano per creare l’esperienza sensoriale che associamo a un determinato cibo.
Aroma:
molecole volatili percepite dall’olfatto. L’aroma è determinato da molecole volatili a basso peso molecolare, che arrivano ai nostri recettori olfattivi attraverso due vie:
- Via ortonasale: quando annusiamo il cibo.
- Via retronasale: quando mastichiamo e le molecole aromatiche si liberano, raggiungendo i recettori attraverso la cavità retro-nasale.
Di solito la percezione sensoriale olfattiva è legata all’insieme delle molecole e i loro rapporti quantitativi, ma alcune di queste molecole sono essenziali per identificare l’aroma caratteristico di un alimento, come quello dello yogurt, definito dall’aldeide acetica, o del burro, in cui predominano acetoino e diacetile.
Gusto:
la percezione dei recettori della lingua. Il gusto si riferisce alla capacità di alcune molecole di attivare i recettori specifici della lingua. Ad oggi, i gusti riconosciuti sono cinque:
- Dolce
- Salato
- Acido
- Amaro
- Umami
Questi recettori lavorano in sinergia con le molecole aromatiche per creare l’identità gustativa di un alimento.
Sensazioni orali:
Le sensazioni orali completano l’esperienza gustativa. Esse includono:
- Sensazioni meccaniche: come la croccantezza o la cremosità.
- Sensazioni chimiche: come l’astringenza (tipica del vino rosso) o il pizzicore (ad esempio, del peperoncino).
Le molecole aromatiche e la loro origine.
Le molecole responsabili dell’aroma derivano da molteplici vie biochimiche. Possono originarsi da:
- Zuccheri
- Amminoacidi
- Acidi grassi
Questi processi possono avvenire spontaneamente all’interno dei tessuti vegetali e animali o essere innescati dall’attività microbica. Ad esempio, la degradazione dei lipidi genera molecole aromatiche che influenzano il profilo sensoriale degli alimenti, soprattutto nei prodotti lattiero-caseari.
Grazie alla tecnologia avanzata, oggi è possibile analizzare le molecole volatili con strumenti come la gascromatografia. Questa tecnica consente di identificare e quantificare i composti aromatici, aiutando a capire meglio il legame tra biochimica e sensorialità. Tra gli alimenti più studiati dal punto di vista aromatico troviamo i formaggi. In particolare:
Proteolisi: Durante la maturazione di molti formaggi, i processi di degradazione delle proteine contribuiscono notevolmente al sapore.
Idrolisi lipidica: Nei formaggi erborinati come il Roquefort, la degradazione dei grassi è fondamentale per il loro caratteristico profilo aromatico.
La formazione degli aromi dai lipidi
La degradazione dei lipidi è un processo naturale che può avvenire attraverso due vie principali: l'ossidazione e l'idrolisi. Questi processi non solo influenzano la qualità e la conservabilità degli alimenti, ma contribuiscono anche alla formazione di aromi e sapori che caratterizzano molti prodotti.
Ossidazione lipidica: come nascono i composti aromatici secondari
L'ossidazione è una delle principali cause di degradazione dei grassi, in particolare di quelli polinsaturi, molto presenti negli oli vegetali e nei grassi animali. Questo processo può avvenire in due modi:
Fotossidazione e autossidazione:
L'ossigeno molecolare (O₂) attacca gli acidi grassi vicino ai doppi legami, provocando una reazione a cascata che genera radicali liberi. Inizialmente si formano i prodotti primari dell’ossidazione, come gli idroperossidi, molecole instabili che si trasformano rapidamente in prodotti secondari più complessi, come aldeidi, chetoni, epossidi e alcoli. Questi composti hanno spesso un impatto significativo sull’aroma del prodotto.
Le reazioni ossidative sono favorite da temperature elevate ed è spesso catalizzata da metalli come rame e ferro, presenti in tracce negli alimenti. Altri elementi che ne promuovono la velocità sono le radiazioni (specie quelle UV) e molecole fotosensibilizzatrici (clorofilla ed emoglobina sono tra queste)
Questi processi portano alla formazione di molecole aromatiche chiave, molte delle quali contribuiscono ai profumi e ai sapori distintivi di prodotti lavorati o conservati. Ma possono portare anche a molecole distintive del fenomeno di irrancidimento degli alimenti.
Idrolisi lipidica: il ruolo degli enzimi
L'idrolisi è un altro meccanismo importante nella degradazione dei lipidi. Questo processo è catalizzato da enzimi come:
Lipasi: Scindono gli acidi grassi dal glicerolo, producendo monogliceridi, digliceridi o trigliceridi.
Lipossigenasi: Ossidano enzimaticamente gli acidi grassi. Questi enzimi sono presenti naturalmente nelle cellule animali e vegetali, ma possono essere prodotti anche da microorganismi.
Anche in questo caso, i composti generati durante l’idrolisi possono trasformarsi ulteriormente in molecole aromatiche, contribuendo al gusto e all’odore di molti alimenti fermentati o maturati.
Le principali molecole responsabili dell’aroma nei cibi
Le molecole aromatiche sono essenziali per il gusto e il profumo di molti alimenti. Ecco le principali classi di composti e come si formano:
Esteri
Gli esteri si formano dalla reazione tra acidi carbossilici e alcoli. Sono molto comuni nei profili aromatici dei frutti, ma possono essere prodotti anche da microrganismi come Lactococcus lactis o lieviti (Saccharomyces, Pichia, Kluyveromyces). Questi composti conferiscono aromi fruttati e dolci, tipici di molti prodotti fermentati.
Terpeni
Queste molecole sono costituite da unità di isoprene e sono tipiche delle piante, dove giocano un ruolo importante negli oli essenziali. Tra i terpeni più noti ci sono limonene, linalolo e carvone, spesso utilizzati anche nell’industria alimentare e cosmetica. Alcuni funghi, come quelli della famiglia degli ascomiceti, possono produrre terpeni.
Chetoni metilici
I chetoni metilici, come il diacetile, sono responsabili di aromi burrosi e fruttati. Sono tipici di prodotti lattiero-caseari come il burro e i formaggi stagionati, ma si formano anche durante la fermentazione di muffe come Aspergillus niger e Penicillium roquefortii (il nome è legato proprio alla produzione del tipico formaggio erborinato francese:Roquefort)
Aldeidi
Le aldeidi, come la vanillina o la benzaldeide, sono composti aromatici chiave. Si formano spesso durante la maturazione o la fermentazione degli alimenti e subiscono spesso ulteriori trasformazioni diventando alcoli o acidi carbossilici.
Alcoli secondari
Gli alcoli secondari sono prodotti tipici della fermentazione anaerobica. Molecole come il 2-feniletanolo o l’alcol isoamilico contribuiscono a profumi floreali e fruttati, mentre i loro derivati esterificati aggiungono ulteriore complessità ai profili aromatici.
Acidi grassi volatili
Gli acidi grassi a catena corta, come l’acido lattico, butirrico e acetico, sono essenziali per il profilo aromatico di alimenti come formaggi, yogurt e bevande fermentate.
L'importanza di queste molecole nel gusto e nell'industria alimentare
Le molecole aromatiche derivate dai processi di ossidazione e idrolisi dei lipidi sono fondamentali per la qualità sensoriale degli alimenti. Comprendere come si formano e come possono essere gestite permette di migliorare il gusto e la stabilità dei prodotti, contribuendo allo sviluppo di nuove tecnologie e al perfezionamento di quelle esistenti nell’industria alimentare.
Smen: l'importanza dell'idrolisi nei grassi
Lo Smen è un alimento fermentato unico, radicato nella tradizione culinaria di paesi come il Marocco e il Medio Oriente. Si tratta di un burro stagionato prodotto a partire dal latte, apprezzato per il suo profilo aromatico complesso e pregiato. Questo alimento, largamente utilizzato in piatti tradizionali come il cous-cous, presenta un sapore inconfondibile che può sorprendere chi è abituato al burro fresco.
I francesi lo chiamano "Beurre Rance" (burro rancido), sottolineando le differenze culturali e gastronomiche: mentre in Europa prevale il consumo di burro fresco, nei paesi nord-africani le temperature elevate hanno reso necessaria la fermentazione e la stagionatura per garantire la conservazione.
Produzione dello Smen: Fermentazione e Lipolisi
La produzione dello Smen avviene in condizioni di anaerobiosi, e il processo più significativo è la degradazione dei lipidi. Questa degradazione avviene tramite: Idrolisi dei trigliceridi, che libera acidi grassi liberi e ossidazione degli acidi grassi, che contribuisce alla formazione di un aroma complesso.
Gli acidi grassi liberi, in particolare quelli a corta catena come l’acido butanoico e l’acido esanoico, svolgono un ruolo importante sia nella sicurezza microbiologica del prodotto (inibendo la crescita di batteri indesiderati come i lattobacilli) che nel suo aroma e sapore caratteristico.
Composizione aromatica dello Smen: Molecole chiave
Acidi grassi (acidi carbossilici)
- Acido butanoico e acido esanoico: responsabili delle note burrose e leggermente rancide.
- Acido acetico, propanoico e ottanoico: presenti anche in burro, yogurt e formaggi, conferiscono note grasse e di formaggio stagionato.
Alcoli
- 2-eptanolo: molecola chiave con aroma grasso e oleoso.
- 1,3-butanediolo e 2,3-butanediolo: conferiscono note di muffa o cremosità.
- Etanolo: contribuisce a un aroma floreale o medicinale.
Esteri
- Etil-butanoato, etil-lattato, etil-esanoato: molecole aromatiche tipiche del burro, con note fruttate e floreali percepibili anche a basse concentrazioni.
Chetoni e Aldeidi
- 2-eptanone e acetoino: caratteristici dei prodotti lattiero-caseari, con aromi burrosi e grassi.
- Acetaldeide: aggiunge note di mandorla amara.
Terpeni
Derivati dall’alimentazione delle vacche, conferiscono al latte e ai suoi derivati aromi vegetali unici. Il profilo aromatico dello Smen dipende dalla combinazione e dalla concentrazione di diverse molecole volatili. Ogni molecola ha una soglia di percezione, sotto la quale non viene rilevata. Tuttavia, a concentrazioni elevate, alcune molecole aromatiche possono evolvere da piacevoli a sgradevoli. Una lipolisi controllata è cruciale per ottenere il caratteristico aroma complesso del prodotto, evitando un’eccessiva rancidità che potrebbe comprometterne la qualità sensoriale.
Come fare lo Smen a casa?
In passato, il burro si otteneva lavorando il latte in una Chekoua, un'otre di pelle di capra. Questo strumento tradizionale, pur difficile da pulire, contribuiva a creare il sapore unico dello Smen. Oggi, però, le tecniche moderne preferiscono l’uso di agitatori meccanici, che agiscono come delle zangole in partica, per rendere il processo più pratico e igienico.
Queste zangole servono per l’inversione di fase: la crema di latte iniziale, un’emulsione di olio in acqua (goccioline di olio più o meno grandi sono disperse nella fase acquosa continua), viene lavorata fino a rompere le goccioline di grasso che così si uniscono formando una nuova emulsione, questa volta di acqua in olio (goccioline di acqua disperse in una fase di grasso continua). In questa fase, eliminare la maggior parte dell’acqua residua è cruciale per garantire la stabilità del prodotto, evitando ossidazioni indesiderate o crescita microbica.
Metodi di Preparazione Tradizionali
Esistono due principali tecniche per preparare lo Smen, a seconda della regione e della tradizione familiare.
Salatura diretta (metodo marocchino)
In Marocco, il burro fresco viene lavorato con sale (circa 0,8 g ogni 100 g di burro). Dopo un accurato impastamento, che serve a omogeneizzare il sale all’interno del burro, si lascia riposare una notte per eliminare l’acqua residua. Successivamente, il burro viene confezionato in contenitori ermetici, spesso di ceramica (chiamati Ezzir) o vetro, e compattato per ridurre al minimo la presenza di ossigeno, infatti sarebbe meglio che il burro immaturo riempia tutto il contenitore, oppure molti produttori aggiungono una pasta di semola tra il burro e la parte superiore del contenitore, per evitare il passaggio di ossigeno.
La maturazione avviene in ambienti asciutti e bui, a temperatura ambiente, e può durare da 1 mese a oltre 1 anno, con un risultato più intenso e complesso man mano che il tempo passa. Nelle regioni calde si preferisce conservare il prodotto in frigorifero o persino sotterrarlo, una pratica ancora diffusa in alcune aree, marocchine soprattutto.
Per accelerare il processo, molte famiglie aggiungono una piccola quantità di Smen già maturo (5-8% di Smen maturato 2-10 anni), riducendo significativamente i tempi di maturazione.
Bollitura del burro (metodo algerino e di qualche regione marocchina)
In Algeria, la preparazione dello Smen inizia con la bollitura lenta (a bassa temperatura per evitare un’eccessiva degradazione dei grassi) del burro per eliminare l’acqua. Durante questa fase si forma una schiuma bianca, residuo di latte (noto come Lben). Si aggiungono ingredienti aromatici come rosmarino, timo, fieno greco, sale (8 g per 100 g di burro) e, talvolta, semola grossa per assorbire eventuali residui di acqua. Questo metodo ricorda anche quello della produzione del burro rancido egiziano (Samna) e del Ghee (Burro stagionato indiano ed Etiope, anche se questo viene cotto a temperature alte vicino ai 120°C)
Dopo una cottura di 30-90 minuti, il burro viene filtrato e confezionato come nel metodo marocchino. Questo approccio garantisce una sicurezza microbiologica maggiore grazie al trattamento termico e agli ingredienti con proprietà antibatteriche e antiossidanti.
Il Sapore dello Smen
Lo Smen è celebre per il suo gusto unico, caratterizzato da note aromatiche intense che si sviluppano grazie alla lipolisi enzimatica e all’ossidazione controllata degli acidi grassi durante la maturazione. Più lungo è il tempo di stagionatura, più marcate saranno le sue note di rancidità, apprezzate soprattutto nella cucina tradizionale.
Viene usato per condire piatti come cous-cous, chakchoukha e dolci tradizionali come baklawa, makrout e rfis. Grazie alla sua complessità aromatica, può essere sperimentato anche nella cucina italiana, sostituendo o affiancando il burro fresco per arricchire il gusto dei piatti.
Curiosità e Usi Tradizionali
In Marocco, una tradizione vuole che lo Smen venga preparato alla nascita di una figlia, sotterrato e lasciato maturare fino al giorno del suo matrimonio, quando sarà usato per condire il cous-cous nuziale.
Lo Smen è anche associato a usi medicinali tradizionali, come il trattamento di ferite, tosse e mal di testa. Alcuni agricoltori lo applicano persino sulle ferite degli animali. Sebbene questi usi siano radicati nella cultura locale, mancano prove scientifiche per sostenerne l’efficacia.
Valore Nutraceutico
Simile al Ghee indiano, lo Smen potrebbe contenere acido linoleico coniugato (CLA), noto per le sue proprietà antiossidanti, anticarcinogeniche e antidiabetiche. Tuttavia, servono ulteriori studi per confermare questi effetti e il loro reale impatto sulla salute umana.
L'ossidazione lipidica quindi è salutare?
L’ossidazione lipidica (conosciuta come irrancidimento) è un fenomeno complesso che interessa la qualità e la stabilità di molti alimenti. Per un tecnologo alimentare, questa parola accende sempre campanelli d’allarme: è associata a processi degradativi che influenzano la sicurezza e le caratteristiche organolettiche di prodotti come oli, carni e latticini.
Un esempio emblematico è l’olio extravergine d’oliva: l’ossidazione può causare difetti sensoriali come il gusto di rancido, compromettendone la classificazione e, nei casi estremi, rendendolo inadatto al consumo umano.
Si tratta di una complessa serie di reazioni che viene molto studiata, poiché influenza qualità e stabilità di molti alimenti tipici del nostro mondo occidentale. Noi, con eccezione di alcuni prodotti dove l’ossidazione è desiderata e viene fatta in maniera controllata (formaggi erborinati, alcuni salumi), non siamo abituati a questi sapori, in genere.
Comunque, il problema consiste nell’ossidazione mediata dalla presenza di ossigeno, poiché è vero che può portare alla produzione di composti secondari aromatici, ma porta anche ad una grande produzione di molecole radicaliche altamente reattive in un complesso di reazioni a cascata che con il passare del tempo aumentare la sua velocità.
Il consumo di alimenti rancidi o ossidati può essere quindi problematico poiché i composti reattivi prodotti durante l’ossidazione (come i perossidi lipidici e i ROS, molecole reattive dell’Ossigeno) sono associati a potenziali effetti negativi:
- Danno ossidativo alle cellule;
- Alterazioni geniche;
- Infiammazione cronica, se l’assunzione è costante
Fortunatamente, il nostro organismo dispone di sistemi di difesa, sia endogeni (antiossidanti naturali prodotti dal corpo) che esogeni (antiossidanti introdotti con la dieta, come vitamina E e polifenoli). Tuttavia, questi sistemi hanno limiti e non possono compensare un’esposizione eccessiva.
I radicali, tra cui anche quelli liberi, sono molecole che presentano una carica e sono quindi instabili e cercano di pareggiare questa carica sottraendo elettroni o atomi di idrogeno ad altre molecole, e queste possono essere molecole lipidiche, proteiche ma anche acidi nucleici del DNA del nostro organismo. Causando perdite della funzione biologica di queste molecole, ma anche mutazioni nel DNA ed alterazione nell’espressione di geni, con rischi biologici anche molto alti.
Gli acidi grassi polinsaturi, come quelli presenti negli olii vegetali, sono particolarmente suscettibili all’autossidazione e alla fotossidazione. Le insaturazioni (doppi legami nei carboni) offrono punti deboli che reagiscono facilmente, accelerando il degrado. Questo spiega perché gli oli vegetali siano meno stabili rispetto a grassi saturi o margarine.
Fortunatamente nel nostro corpo abbiamo diversi sistemi di difesa nei confronti di queste molecole reattive e nei confronti dell’ossidazione in generale, sia endogeni (cioè prodotti dal nostro organismo) e sia esogeni (introdotti con l’alimentazione), ma questi hanno i loro limiti. In generale, sarebbe meglio evitare alimenti irranciditi o degradati. Tuttavia, per prodotti in cui l’ossidazione è controllata, il discorso cambia:
- Sono spesso alimenti di origine animale, dove i grassi sono più stabili all’irrancidimento, per cui l’ossidazione è spesso ottenuta tramite idrolisi enzimatica e avviene in condizioni controllate, ma comunque è essenziale moderarne il consumo in linea con le raccomandazioni nutrizionali.
- Non rappresentano un pericolo significativo se inseriti in una dieta bilanciata e consumati con moderazione.
Conclusione
L’ossidazione lipidica è un fenomeno da comprendere e gestire con attenzione. Mentre l’ossidazione incontrollata è dannosa, quella gestita offre opportunità per creare alimenti dal gusto unico e inconfondibile. La chiave è un consumo consapevole, bilanciato e in linea con una dieta sana e sostenibile. Puoi anche gli effetti benefici del consumo di altri elimenti fermentati come il miso guardando il video che ho realizzato qui e del Kefir qui. Speriamo che questo articolo sia stato utile per voi, e se ci sono argomenti per la quale avete un particolare interesse, o anche se volete approfondimenti, potete scrivercelo nei commenti qui sul blog o sui social!
Vi ringraziamo per l’interesse e per la lettura.
Bibliografia
Benkerroum, N., & Tamime, A. Y. (2004). Technology transfer of some Moroccan traditional dairy products (lben, jben and smen) to small industrial scale. Food Microbiology, 21(4), 399–413. https://doi.org/10.1016/j.fm.2003.08.006
Chinnadurai, K., Kanwal, H. K., Tyagi, A. K., Stanton, C., & Ross, P. (2013). High conjugated linoleic acid enriched ghee (clarified butter) increases the antioxidant and antiatherogenic potency in female Wistar rats. Lipids in Health and Disease, 12(1). https://doi.org/10.1186/1476-511X-12-121
Martemucci, G., Costagliola, C., Mariano, M., D’andrea, L., Napolitano, P., & D’Alessandro, A. G. (2022). Free Radical Properties, Source and Targets, Antioxidant Consumption and Health. Oxygen, 2(2), 48–78. https://doi.org/10.3390/oxygen2020006
Quarantelli A, Righi F, Renzi M, & Bonomi A. (2003). PROCESSI OSSIDATIVI NEGLI ALIMENTI DI ORIGINE VEGETALE. In Ann. Fac. Medic. Vet. di Parma: Vol. XXIII.
Reyes-Reyes, A. L., Valero Barranco, F., & Sandoval, G. (2022). Recent Advances in Lipases and Their Applications in the Food and Nutraceutical Industry. Catalysts, 12(9), 960. https://doi.org/10.3390/catal12090960
Sánchez-Muniz, F. J. (2006). Oils and fats: Changes due to culinary and industrial processes. International Journal for Vitamin and Nutrition Research, 76(4), 230–237. https://doi.org/10.1024/0300-9831.76.4.230
Sarhir, S. T., Amanpour, A., Bouseta, A., & Selli, S. (2021). Fingerprint of aroma-active compounds and odor activity values in a traditional Moroccan fermented butter “Smen” using GC–MS–Olfactometry. Journal of Food Composition and Analysis, 96, 103761. https://doi.org/10.1016/j.jfca.2020.103761
Shahidi, F., & Hossain, A. (2022). Role of Lipids in Food Flavor Generation. Molecules, 27(15), 5014. https://doi.org/10.3390/molecules27155014
Triqui, R., Guth, H., Triqui, R., & Guth, H. (2001). Potent odorants in “Smen”, a traditional fermented butter product. In Eur Food Res Technol (Vol. 212). Springer-Verlag.
Redatto da Renato Iliano per I'm in fermentation
Prossimi corsi
Passa dalla teoria alla pratica, partecipa ad un corso ed impara in diretta tutti i segreti della fermentazione. Nel calendario potrai trovare corsi in ogni parte d'Italia o formazioni personalizzate residenziali a casa mia!














